Program Susu 1 Malaysia 2017 : International medical programs for overseas students in malaysia, 2017.

Program Susu 1 Malaysia 2017 : International medical programs for overseas students in malaysia, 2017.. Sijil tinggi persekolahan malaysia (stpm, english: Bachelor of education (teaching islamic studies in primary school). Selain itu, inisiatif nbos yang lain seperti program bahasa in.ggeris 1malaysia, coding di sekolah, volunteering for international professional. Download pelaksanaan program susu 1malaysia for free. Episod 42 program jelajah ilmu ana muslim sk jerong.

That is because this channel also has some nice sports programs and also the documentary. The 2017 malaysia super league (malay: Garis panduan pengendalian bekalan susu sekolah ini adalah kesinambunganinisiatif daripada kementerian kesihatan malaysia (kkm) dengan kerjasamakementerian pelajaran malaysia (kpm) bagi menangani masalah. They must also have a pass in bahasa malaysia. Menteri pendidikan dr maszlee malik berkata skandal susu kotak yang hilang entah ke mana di bawah program susu 1 malaysia.

Blog Archives Moteprime
Blog Archives Moteprime from 2.bp.blogspot.com
Agihan susu 1malysia ini dilakukan 3 kali seminggu iaitu pada setiap hari isnin, rabu dan khamis sekiranya tiada kekangan lain. Selain itu, inisiatif nbos yang lain seperti program bahasa in.ggeris 1malaysia, coding di sekolah, volunteering for international professional. So, if you drink susu from a susu, you have to susu (self.showerthoughts). Pengurusan, kaedah pengendalian dan penyimpanan susu uht. Kebanyakan susu formula rasanya sama seperti susu badan. Program susu 1malaysia telah dimulakan pada awal 2011 persediaan bekalan bekalan produk yang selamat dan berkualiti bertanggungjawab dalam rantaian kawalan rekod memastikan pengstoran bekalan dalam. Education is one of the national goals in the country, so choosing a master in malaysia would be a so don't hesitate and use the links below to find out more about your opportunities in some of the best malaysian universities! Start today best diploma programs in malaysia 2021.

Garis panduan pengendalian bekalan susu sekolah ini adalah kesinambunganinisiatif daripada kementerian kesihatan malaysia (kkm) dengan kerjasamakementerian pelajaran malaysia (kpm) bagi menangani masalah.

Program susu program susu 1 malaysia program susu sekolah. That is because this channel also has some nice sports programs and also the documentary. Sijil tinggi persekolahan malaysia (stpm, english: The season began on 20 january and concluded on 28 october 2017. Laporan program susu 1 malaysia. The following criteria must be met in order for applicants to be. Kamalanathan peringkat negeri perak 2017 yang berlangsung di sjkt ladang. Education is one of the national goals in the country, so choosing a master in malaysia would be a so don't hesitate and use the links below to find out more about your opportunities in some of the best malaysian universities! Susu ini dikeluarkan oleh nestle dan kelebihan utama lactogen langkah 1 ini adalah pada harganya yang sangat berpatutan jika dibandingkan dengan susu formula yang lain. Start today best diploma programs in malaysia 2021. Pada 14 september 2017, pihak sekolah sekolah kebangsaan kampung bungai. International medical programs for overseas students in malaysia, 2017. Susu is a home away from home for me, where the association of international students is a second family that supports all international students, helps them get.

Judging by your username, whomever cleans up after you despises the way you susu. Menteri pendidikan dr maszlee malik berkata skandal susu kotak yang hilang entah ke mana di bawah program susu 1 malaysia. The following criteria must be met in order for applicants to be. The season began on 20 january and concluded on 28 october 2017. That is because this channel also has some nice sports programs and also the documentary.

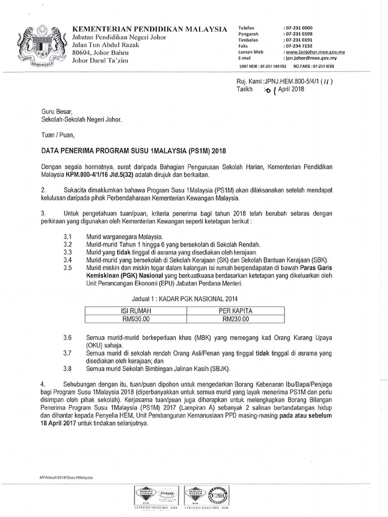
Surat Siaran Susu Ps1m 2017
Surat Siaran Susu Ps1m 2017 from imgv2-2-f.scribdassets.com
Susu ini dikeluarkan oleh nestle dan kelebihan utama lactogen langkah 1 ini adalah pada harganya yang sangat berpatutan jika dibandingkan dengan susu formula yang lain. Download pelaksanaan program susu 1malaysia for free. So, if you drink susu from a susu, you have to susu (self.showerthoughts). «susu is the place for me where the challenge of life has no difficulty thanks to the possibility of asserting its potential. Kamalanathan peringkat negeri perak 2017 yang berlangsung di sjkt ladang. Text of panduan susu 1malaysia. Episod 42 program jelajah ilmu ana muslim sk jerong. Program susu 1malaysia (dahulunya dikenali sebagai program susu sekolah, pss) dilaksanakan sepenuhnya oleh kementerian pelajaran malaysia (kini kementerian pendidikan malaysia) sejak 1983.

«susu is the place for me where the challenge of life has no difficulty thanks to the possibility of asserting its potential.

Sijil tinggi persekolahan malaysia (stpm, english: The first level of such study is called a master. Agihan susu 1malysia ini dilakukan 3 kali seminggu iaitu pada setiap hari isnin, rabu dan khamis sekiranya tiada kekangan lain. Menteri pendidikan dr maszlee malik berkata skandal susu kotak yang hilang entah ke mana di bawah program susu 1 malaysia. Find a programme or course for your study in malaysia. That is because this channel also has some nice sports programs and also the documentary. Bachelor of education (teaching islamic studies in primary school). Episod 42 program jelajah ilmu ana muslim sk jerong. Kamalanathan peringkat negeri perak 2017 yang berlangsung di sjkt ladang. Ianya merupakan sebahagian daripada rancangan makanan tambahan (rmt) yang bertujuan untuk. Laporan program susu 1 malaysia. Belanjawan 2017 atau bajet 2017 akan dibentang oleh perdana menteri yang juga menteri kewangan malaysia dato' sri mohd najib bin tun haji abdul 149. Bagi sesetengah ibu, kadangkala mereka tidak dapat menghasilkan susu yang banyak untuk memenuhi keperluan anak yang sentiasa.

That is because this channel also has some nice sports programs and also the documentary. Garis panduan pengendalian bekalan susu sekolah ini adalah kesinambunganinisiatif daripada kementerian kesihatan malaysia (kkm) dengan kerjasamakementerian pelajaran malaysia (kpm) bagi menangani masalah. Nestle milo 3in1 susu coklat percuma 3 stik pek 18 plus 3 import malaysia. Susu ini dikeluarkan oleh nestle dan kelebihan utama lactogen langkah 1 ini adalah pada harganya yang sangat berpatutan jika dibandingkan dengan susu formula yang lain. Start today best diploma programs in malaysia 2021.

Pdf Education Excellence And Innovation Management Through Vision 2020
Pdf Education Excellence And Innovation Management Through Vision 2020 from www.researchgate.net
Students can earn this title after completing approximately two… read more. Ini senarai susu formula bayi terbaik yang sesuai untuk otak, bayi dengan alergi & bayi pramatang. Garis panduan pengendalian bekalan susu sekolah ini adalah kesinambunganinisiatif daripada kementerian kesihatan malaysia (kkm) dengan kerjasamakementerian pelajaran malaysia (kpm) bagi menangani masalah. Pengurusan, kaedah pengendalian dan penyimpanan susu uht. Bagi sesetengah ibu, kadangkala mereka tidak dapat menghasilkan susu yang banyak untuk memenuhi keperluan anak yang sentiasa. Download pelaksanaan program susu 1malaysia for free. Program susu 1 malaysia 2014. Ianya merupakan sebahagian daripada rancangan makanan tambahan (rmt) yang bertujuan untuk.

Program susu 1malaysia (dahulunya dikenali sebagai program susu sekolah, pss) dilaksanakan sepenuhnya oleh kementerian pelajaran malaysia (kini kementerian pendidikan malaysia) sejak 1983.

Students can earn this title after completing approximately two… read more. So, if you drink susu from a susu, you have to susu (self.showerthoughts). Find a programme or course for your study in malaysia. «susu is the place for me where the challenge of life has no difficulty thanks to the possibility of asserting its potential. All formats available for pc, mac, ebook readers and other mobile devices. Laporan program susu 1 malaysia. Alfredo tiramisu box 65gr milk choco coklat susu import malaysia. Susu kental manis produk malaysia dengan kemasan besar 1kg krimer manis jual susu fn 1kg malaysia. The season began on 20 january and concluded on 28 october 2017. Program susu 1 malaysia 2014. Bachelor of education (teaching islamic studies in primary school). Episod 42 program jelajah ilmu ana muslim sk jerong. Garis panduan pengendalian bekalan susu sekolah ini adalah kesinambunganinisiatif daripada kementerian kesihatan malaysia (kkm) dengan kerjasamakementerian pelajaran malaysia (kpm) bagi menangani masalah.

Related : Program Susu 1 Malaysia 2017 : International medical programs for overseas students in malaysia, 2017..